logo

Câu hỏi khởi động trang 5 Toán lớp 7

icon_facebook

Câu hỏi khởi động trang 5 Toán lớp 7: Nhiệt độ lúc 13 giờ ngày 24/01/2016 tại một số trạm đo được bởi bảng như sau:

Phương pháp giải:

Viết số thập phân dưới dạng phân số có mẫu số là lũy thừa của 10 như đã học

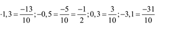
Lời giải:

icon-date
Xuất bản : 20/02/2024 - Cập nhật : 20/02/2024

Câu hỏi thường gặp

Đánh giá độ hữu ích của bài viết

😓 Thất vọng
🙁 Không hữu ích
😐 Bình thường
🙂 Hữu ích
🤩 Rất hữu ích
image ads