logo

Luyện tập 1 trang 6 Toán lớp 7

icon_facebook

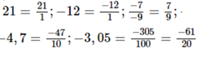
Luyện tập 1 trang 6 Toán lớp 7: Các số 21; -12; −7/−9; -4,7; -3,05 có là số hữu tỉ không? Vì sao?

Lời giải:

Các số 21; -12; −7/−9; -4,7; -3,05 có là số hữu tỉ vì chúng đều viết được dưới dạng phân số

icon-date
Xuất bản : 20/02/2024 - Cập nhật : 20/02/2024

Câu hỏi thường gặp

Đánh giá độ hữu ích của bài viết

😓 Thất vọng
🙁 Không hữu ích
😐 Bình thường
🙂 Hữu ích
🤩 Rất hữu ích
image ads