logo

Bài 5 trang 30 Toán lớp 7 Tập 1

icon_facebook

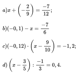
Bài 5 trang 30 Toán lớp 7 Tập 1: Tìm x, biết:

Gợi ý đáp án

a)

Vậy x = -13/26

b)

c)
 


Vậy x = 109/10
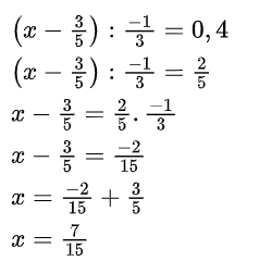
d)
 

A math problem with numbers and symbols

Description automatically generated


Vậy x = 7/15

icon-date
Xuất bản : 20/02/2024 - Cập nhật : 20/02/2024

Câu hỏi thường gặp

Đánh giá độ hữu ích của bài viết

😓 Thất vọng
🙁 Không hữu ích
😐 Bình thường
🙂 Hữu ích
🤩 Rất hữu ích
image ads