Đăng nhập
Đăng kí
Hỏi đáp
GIẢI TOÁN 7 CÁNH DIỀU
BÀI TẬP CUỐI CHƯƠNG 1 TRANG 30, 31
Đặt câu hỏi
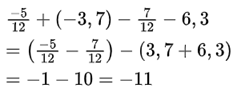
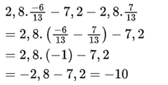
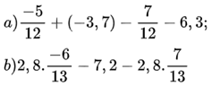
Bài 3 trang 30 Toán lớp 7 Tập 1
Bài 3 trang 30 Toán lớp 7 Tập 1:
Tính một cách hợp lí:
Gợi ý đáp án
a)
b)
Xuất bản : 20/02/2024 - Cập nhật : 20/02/2024
Tải về
Câu hỏi thường gặp
Đánh giá độ hữu ích của bài viết
😓
Thất vọng
🙁
Không hữu ích
😐
Bình thường
🙂
Hữu ích
🤩
Rất hữu ích
Bộ 100 Đề thi Giữa kì, Cuối kì các Môn học mới nhất.
Tuyển tập các khóa học hay nhất tại Toploigiai.
Bài trước
Bài sau
Tìm Kiếm Bài Viết
Xem thêm các bài cùng chuyên mục
Bài 2 trang 30 Toán lớp 7 Tập 1
Bài 1 trang 30 Toán lớp 7 Tập 1
Bài 4 trang 30 Toán lớp 7 Tập 1
Bài 5 trang 30 Toán lớp 7 Tập 1
Bài 6 trang 30 Toán lớp 7 Tập 1
Tham khảo các bài học khác
Bài 1: Tập hợp Q các số hữu tỉ
Bài 3: Phép tính lũy thừa với số mũ tự nhiên của một số hữu tỉ
Bài 4: Thứ tự thực hiện các phép tính. Quy tắc dấu ngoặc
Bài 5: Biểu diễn thập phân của số hữu tỉ
Bài tập cuối chương 1 trang 30, 31
Giải Toán 7 Cánh diều
Đặt câu hỏi