logo

Luyện tập 3 trang 19 Toán lớp 7

icon_facebook

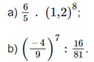
Luyện tập 3 trang 19 Toán lớp 7: Viết kết quả của mỗi phép tính sau dưới dạng một lũy thừa:

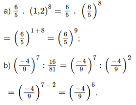
Lời giải:

icon-date
Xuất bản : 20/02/2024 - Cập nhật : 20/02/2024

Câu hỏi thường gặp

Đánh giá độ hữu ích của bài viết

😓 Thất vọng
🙁 Không hữu ích
😐 Bình thường
🙂 Hữu ích
🤩 Rất hữu ích
image ads