Bài 9 trang 21 Toán lớp 7 Tập 1: Chu kì bán rã của nguyên tố phóng xạ Urani 238 là 4,468 . 109 năm (nghĩa là sau 4,468 . 109 năm khối lượng của nguyên tố đó chỉ còn lại một nửa).
(Nguồn: https://vi.wikipedia.org)
a) Ba chu kì bán rã của nguyên tố phóng xạ đó là bao nhiêu năm?
b) Sau ba chu kì bán rã, khối lượng của nguyên tố phóng xạ còn lại bằng bao nhiêu phần khối lượng ban đầu?
Gợi ý đáp án
a) Thời gian ba chu kì bán rã của nguyên tố phóng xạ là:
3 . 4,468 . 109 = 13,404 . 109 (năm)
Vậy ba chu kì bán rã của nguyên tố phóng xạ là 13,404 . 109 năm.
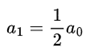
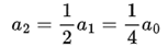
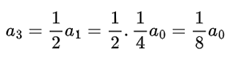
b) Gọi a0 là khối lượng ban đầu của nguyên tố phóng xạ Urani 238.
a1, a2, a3 lần lượt là khối lượng nguyên tố phóng xạ Urani 238 còn lại sau một, hai, ba chu kì.
Sau một chu kì bán rã, khối lượng nguyên tố phóng xạ Urani 238 còn lại là:

Sau hai chu kì bán rã, khối lượng nguyên tố phóng xạ Urani 238 còn lại là:

Sau ba chu kì bán rã, khối lượng nguyên tố phóng xạ Urani 238 còn lại là:

Vậy sau ba chu kì bán rã, khối lượng của nguyên tố phóng xạ còn lại bằng 1/8 khối lượng ban đầu.