logo

Bài 4 trang 20 Toán lớp 7 Tập 1

icon_facebook

Bài 4 trang 20 Toán lớp 7 Tập 1: Viết kết quả mỗi phép tính sau dưới dạng lũy thừa của a:

Gợi ý đáp án

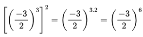
a) Ta có:

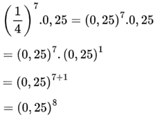
b) Ta có:

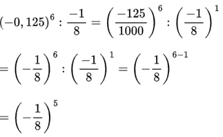
c) Ta có:

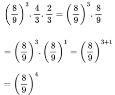
d) Ta có:

icon-date
Xuất bản : 20/02/2024 - Cập nhật : 20/02/2024

Câu hỏi thường gặp

Đánh giá độ hữu ích của bài viết

😓 Thất vọng
🙁 Không hữu ích
😐 Bình thường
🙂 Hữu ích
🤩 Rất hữu ích
image ads