Đăng nhập
Đăng kí
Hỏi đáp
GIẢI TOÁN 7 CÁNH DIỀU
BÀI 4: THỨ TỰ THỰC HIỆN CÁC PHÉP TÍNH. QUY TẮC DẤU NGOẶC
Đặt câu hỏi
Bài 2 trang 25 Toán lớp 7 Tập 1
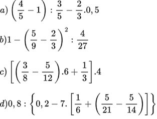
Bài 2 trang 25 Toán lớp 7 Tập 1:
Tính
Gợi ý đáp án
a)
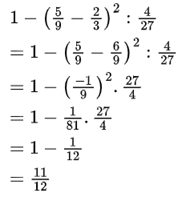
b)
c)
d)
Xuất bản : 20/02/2024 - Cập nhật : 20/02/2024
Tải về
Câu hỏi thường gặp
Đánh giá độ hữu ích của bài viết
😓
Thất vọng
🙁
Không hữu ích
😐
Bình thường
🙂
Hữu ích
🤩
Rất hữu ích
Bộ 100 Đề thi Giữa kì, Cuối kì các Môn học mới nhất.
Tuyển tập các khóa học hay nhất tại Toploigiai.
Bài trước
Bài sau
Tìm Kiếm Bài Viết
Xem thêm các bài cùng chuyên mục
Bài 1 trang 25 Toán lớp 7 Tập 1
Luyện tập 4 trang 25 Toán lớp 7
Luyện tập 3 trang 25 Toán lớp 7
Bài 4 trang 26 Toán lớp 7 Tập 1
Bài 6 trang 26 Toán lớp 7 Tập 1
Bài 7 trang 26 Toán lớp 7 Tập 1
Tham khảo các bài học khác
Bài 1: Tập hợp Q các số hữu tỉ
Bài 3: Phép tính lũy thừa với số mũ tự nhiên của một số hữu tỉ
Bài 4: Thứ tự thực hiện các phép tính. Quy tắc dấu ngoặc
Bài 5: Biểu diễn thập phân của số hữu tỉ
Bài tập cuối chương 1 trang 30, 31
Giải Toán 7 Cánh diều
Đặt câu hỏi